Breaking news and analysis on politics, business, world national news, entertainment and more.
36+ Circuito En Paralelo Y En Serie Formulas Images
29/04/2020 00:00
36+ Circuito En Paralelo Y En Serie Formulas Images. Además, algunos ejemplos y qué es un circuito en serie. Podríamos seguir los mismos pasos que en serie, primero resistencia equivalente, luego la it, etc.
FISICA: CIRCUITO MIXTO from fresno.pntic.mec.es
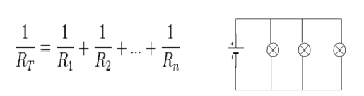
Circuitos en paralelo los circuitos en paralelo se caracterizan por tener conectadas varias vías alineadas paralelamente entre sí, de tal forma circuito mixtos los circuitos mixtos, como su propio nombre indica, son circuitos que mezclan resistencias conectas en serie y en paralelo. Variables y formula de circuito en serie y circuito en paralelo. Aprende analizar los 【 circuitos de capacitores en serie y paralelo 】 como los master, estas a un clic de comprender las formulas y conceptos básicos.
Un circuito en paralelo funciona mediante la conexión de una o varias fuentes de poder, las cuales pueden estar conectadas en paralelo y proporcionan energía eléctrica al sistema.
Circuitos en serie y paralelo objetivos evaluar experimentalmente las reglas de kirchhoff. La tensión es la misma en todos los puntos del circuito. Circuitos en serie y paralelo. Un circuito en paralelo funciona mediante la conexión de una o varias fuentes de poder, las cuales pueden estar conectadas en paralelo y proporcionan energía eléctrica al sistema.